Tận dụng dữ liệu giao dịch chuyển khoản làm căn cứ lập hóa đơn tổng cuối ngày

Ngày 27/3, Liên đoàn Thương mại và Công nghiệp Việt Nam (VCCI) phối hợp với Cục Thuế (Bộ Tài chính) tổ chức Hội thảo lấy kiến cộng đồng doanh nghiệp nhằm hoàn thiện dự thảo Nghị định quy định chi tiết Luật Quản lý thuế và Nghị định quy định về hóa đơn điện tử và chứng từ điện tử.
Theo Bộ Tài chính, việc xây dựng hai nghị định lần này bám sát tinh thần Nghị quyết 68-NQ/TW, tập trung cải thiện môi trường kinh doanh, giảm thủ tục hành chính và thúc đẩy chuyển đổi số trong lĩnh vực thuế.
Nếu có thể kết xuất dữ liệu từ hệ thống ngân hàng hoặc phần mềm thanh toán, việc tổng hợp thành hóa đơn cuối ngày không chỉ đơn giản mà còn đảm bảo độ chính xác cao.
(Ông Đặng Ngọc Minh, Phó Cục trưởng Cục Thuế).
Với phạm vi điều chỉnh rộng, Bộ Tài chính đánh giá hai nghị định này có tác động lớn đến môi trường kinh doanh, do đó cần được thiết kế theo hướng giảm chi phí tuân thủ và tạo thuận lợi tối đa cho doanh nghiệp.
Tại hội thảo, bên cạnh những điểm tích cực, cộng đồng doanh nghiệp cũng đưa ra nhiều góp ý, tập trung vào việc giảm gánh nặng thủ tục và nâng cao tính khả thi của chính sách. Một trong những vấn đề nổi bật là quy định về hóa đơn điện tử đối với xuất hóa đơn điện tử cho từng giao dịch.
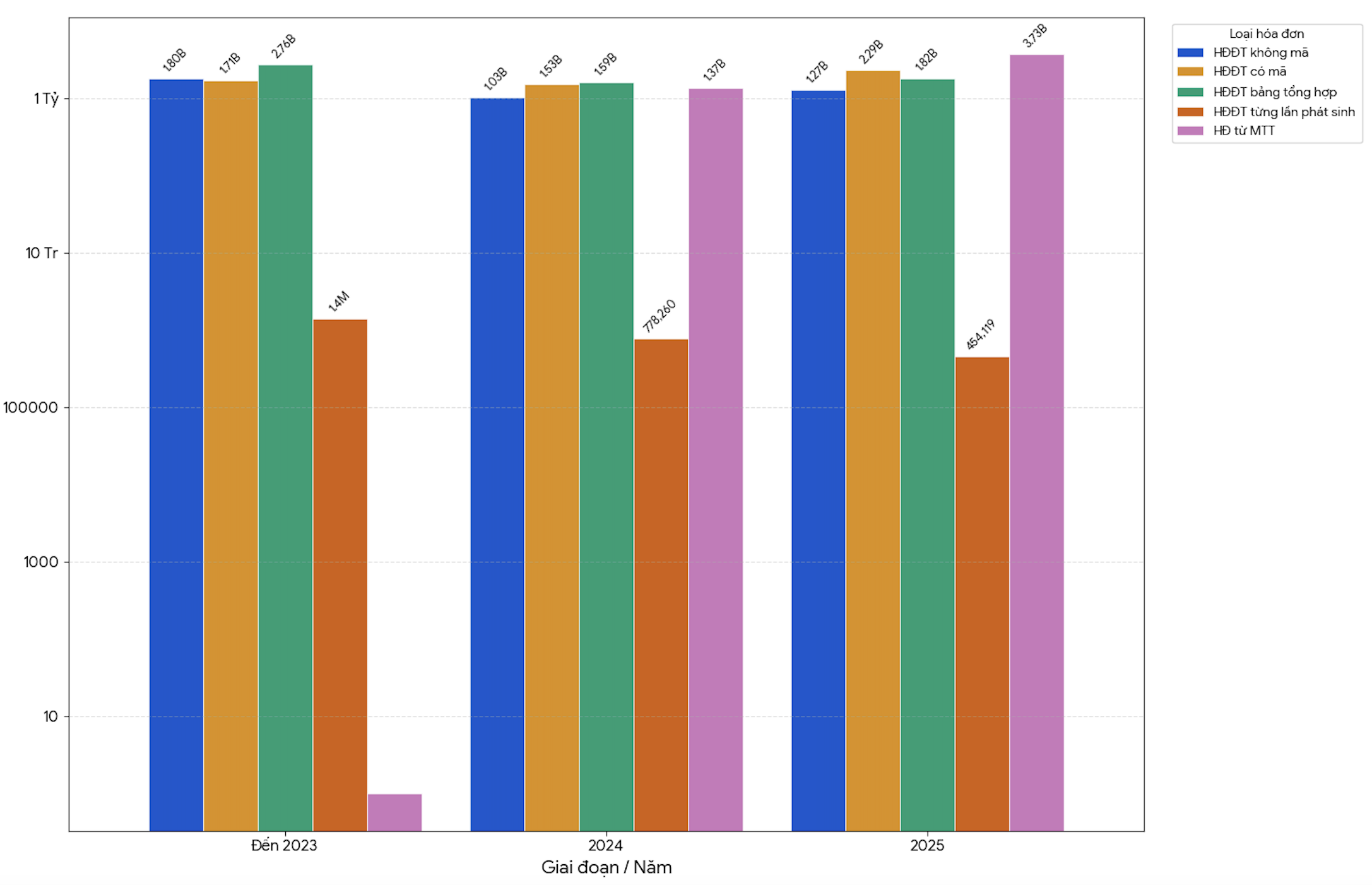
Theo số liệu từ Bộ Tài chính, số lượng hoá đơn điện tử được phát hành tại Việt Nam tăng mạnh trong những năm qua. Tính tới thời điểm hiện tại, tổng số hoá đơn điện tử đã phát hành đạt hơn 20 tỷ. Điều này cho thấy ngành thuế đã đạt nhiều thành tựu lớn, song từ thực tiễn triển khai, quy định hiện hành vẫn còn điểm nghẽn.
Ông Đậu Anh Tuấn, Phó Tổng Thư ký Liên đoàn Thương mại và Công nghiệp Việt Nam (VCCI) cho rằng với các lĩnh vực có tần suất giao dịch cao như bán lẻ, ăn uống, dịch vụ tiêu dùng nhanh hoặc kinh doanh trên sàn thương mại điện tử, mỗi ngày có thể phát sinh hàng trăm giao dịch giá trị nhỏ. Nếu phải lập hóa đơn cho từng giao dịch, doanh nghiệp không chỉ tốn thêm thời gian mà còn làm gia tăng chi phí tuân thủ.
Từ thực tế đó, nhiều ý kiến đề xuất không nên bắt buộc hộ kinh doanh trên sàn thương mại điện tử phải xuất hóa đơn cho từng lần bán hàng, mà cần có cơ chế linh hoạt hơn, phù hợp với đặc thù từng loại hình kinh doanh và hành vi tiêu dùng.
'Việc đưa ra các ngưỡng khống chế như giá trị từng giao dịch dưới 50.000 đồng hoặc điều kiện về doanh thu (chỉ áp dụng với hộ kinh doanh có doanh thu dưới 3 tỷ đồng) vẫn bộc lộ hạn chế nhất định. Bởi lẽ cách tiếp cận này chưa phản ánh đầy đủ đặc thù đa dạng của các lĩnh vực kinh doanh, từ hàng hóa tiêu dùng nhanh đến dịch vụ có giá trị cao, cũng như sự khác biệt giữa các mô hình kinh doanh.
Việc phải phân loại trường hợp nào được lập hóa đơn tổng, trường hợp nào không, có thể làm gia tăng gánh nặng quản trị, gây lúng túng cho hộ kinh doanh, cá nhân kinh doanh và cả doanh nghiệp'.
Bà Lê Thị Duyên Hải, Phó Tổng Thư ký Hội Tư vấn Thuế Việt Nam (VTCA) cho biết các quy định liên quan đến hóa đơn đối với hộ kinh doanh, đặc biệt là việc cho phép lập hóa đơn tổng vào cuối ngày là tín hiệu tích cực đối với người nộp thuế.
Quy định này giúp giảm bớt thủ tục khi không phải lập hóa đơn cho từng giao dịch phát sinh. Tuy nhiên, chính sách hiện hành vẫn cần tiếp tục được rà soát, hoàn thiện để phù hợp hơn với thực tiễn, bà Hải đánh giá.
Từ thực tế đó, Phó Tổng Thư ký Hội Tư vấn Thuế Việt Nam đề xuất cần có cách tiếp cận linh hoạt hơn, đặc biệt đối với các giao dịch bán hàng cho người tiêu dùng cuối cùng.
Trong bối cảnh thanh toán không dùng tiền mặt ngày càng phổ biến, có thể tận dụng dữ liệu giao dịch chuyển khoản làm căn cứ lập hóa đơn tổng cuối ngày. Các hệ thống ngân hàng hiện đã cung cấp đầy đủ thông tin như biến động số dư, nội dung thanh toán, trong khi nhiều hộ kinh doanh cũng đã đăng ký tài khoản với cơ quan thuế.
'Những dữ liệu này về cơ bản tương đương với nội dung của một hóa đơn bán hàng riêng lẻ, đảm bảo tính minh bạch, chính xác và khả năng kiểm soát. Việc sử dụng dữ liệu thanh toán để lập hóa đơn không chỉ giúp giảm thủ tục mà còn góp phần thúc đẩy thanh toán không dùng tiền mặt', Phó Tổng Thư ký Hội Tư vấn Thuế Việt Nam (VTCA) nhận định.
Phản hồi về nội dung này, bà Phạm Thị Minh Hiền, Phó Trưởng Ban Chính sách thuế quốc tế (Cục Thuế), nếu áp dụng đối với hộ kinh doanh, đặc biệt là nhóm nhỏ lẻ thì cách làm này có thể phát sinh thêm khó khăn. Thay vì chỉ cần tự xác định và ghi nhận các khoản doanh thu nhỏ lẻ trong ngày, hộ kinh doanh sẽ phải theo dõi, tổng hợp toàn bộ giao dịch chuyển khoản để lập hóa đơn vào cuối ngày.
Điều này đòi hỏi việc quản lý dữ liệu và đối soát chi tiết hơn, trong khi không phải hộ kinh doanh nào cũng có đủ điều kiện về công cụ và kỹ năng để thực hiện. Trong khi đó, với các giao dịch giá trị nhỏ, việc ghi chép thủ công, đánh dấu và tổng hợp để lập hóa đơn cuối ngày vẫn là phương thức dễ thực hiện đối với nhiều hộ kinh doanh, bà Hiền đặt vấn đề.
Tuy nhiên, ở góc độ quản lý, ông Đặng Ngọc Minh, Phó Cục trưởng Cục Thuế cho rằng việc tận dụng dữ liệu giao dịch chuyển khoản là khả thi và phù hợp với thực tế hiện nay.
Theo ông Minh, nếu có thể kết xuất dữ liệu từ hệ thống ngân hàng hoặc phần mềm thanh toán, việc tổng hợp thành hóa đơn cuối ngày không chỉ đơn giản mà còn đảm bảo độ chính xác cao. Hóa đơn tổng trong trường hợp này vẫn có thể chi tiết theo từng giao dịch, giúp cơ quan quản lý dễ kiểm soát, đồng thời giảm bớt thủ tục cho người kinh doanh.
Trong bối cảnh nhiều hộ kinh doanh đã từng bước tiếp cận công nghệ, sử dụng thanh toán điện tử và các phần mềm quản lý bán hàng, việc nghiên cứu, tiếp thu đề xuất lập hóa đơn tổng dựa trên dữ liệu chuyển khoản là cần thiết, nhằm vừa tạo thuận lợi cho người nộp thuế, vừa thúc đẩy quá trình số hóa trong quản lý thuế, Phó Cục trưởng Cục Thuế nhấn mạnh.
'Với một giao dịch bán lẻ như khách hàng thanh toán tiền ăn qua chuyển khoản hoặc quét mã QR, hệ thống ngân hàng đã ghi nhận đầy đủ thông tin người trả, người nhận và số tiền giao dịch. Những dữ liệu này về bản chất đã tương đương với thông tin trên một hóa đơn', Phó Cục trưởng Cục Thuế nêu ví dụ
-Mai Nhi
]]>